您的位置:首页 >县教育局 >通知公告

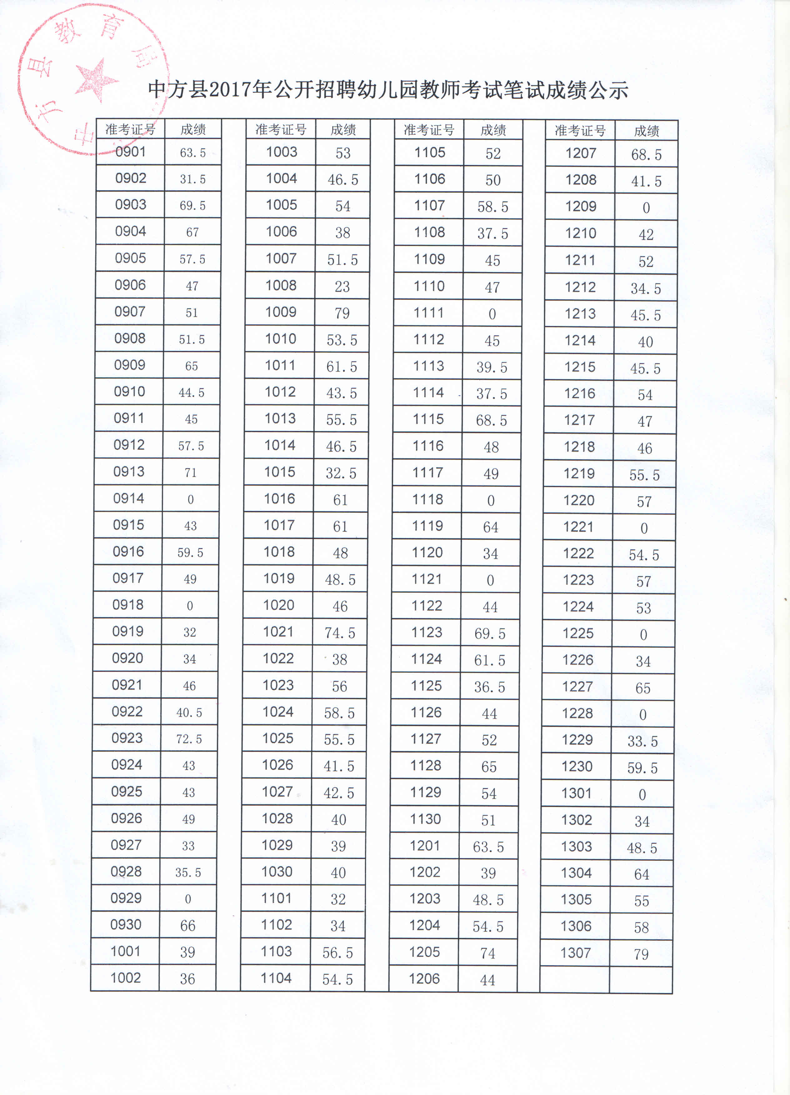
中方县2017年公开招聘幼儿园教师考试笔试成绩公示

索引号: 11431221006731242J-2017-00097 公开责任部门: 县教育局

手机扫描本页二维码
公开日期: 2017年07月07日 发布文号:
公开目录: 通知公告 公开形式: 主动公开
内容概述:

5ccd43cfe52a49fba064bd4a1db0b556.jpg7b4b8e4f0d574ce1a145bc08122a94a7.jpg78d762bb1ecb4aac8400f8836b8a2ac5.jpg